侯凡凡院士领衔!大规模真实世界研究证实:降尿酸治疗均能显著降低肾功能恶化及全因死亡风险
| 导读 | 结果显示,与未启动降尿酸治疗的患者相比,接受降尿酸治疗的患者三年内发生肾脏复合终点的相对风险下降15%。 |
近日,南方医科大学南方医院侯凡凡院士/徐曦教授团队在知名期刊《信号转导与靶向治疗》(Signal Transduction and Targeted Therapy,IF=52.7)发表最新研究成果:通过大规模真实世界研究证实,对于合并高尿酸血症的慢性肾脏病患者,不论是否伴有痛风症状,降尿酸治疗均能显著降低肾功能恶化及全因死亡风险。
这项研究分析了中国肾脏病医疗大数据库中28家三甲医院的5.6万例慢性肾脏病合并高尿酸血症患者的数据。结果显示,与未启动降尿酸治疗的患者相比,接受降尿酸治疗的患者三年内发生肾脏复合终点的相对风险下降15%。

图形摘要
研究背景:高尿酸血症与慢性肾脏病的双重威胁

研究人群流程图
高尿酸血症在慢性肾脏病患者中十分常见,约24%的慢性肾脏病患者伴有高尿酸血症。随着肾功能下降,高尿酸血症患病率急剧上升,在慢性肾脏病4期患者中高达80%。
高尿酸对肾脏的损害主要体现在两个方面:一是尿酸结晶对肾小管间质的直接损害,二是通过炎症反应导致血管内皮功能失调,进而引发高血压和心血管疾病。
尽管观察性研究一直显示高尿酸血症与慢性肾脏病进展相关,但关于降尿酸治疗是否能延缓慢性肾脏病进展一直存在争议。2024年国际肾脏病防治指南仅推荐对合并痛风的慢性肾脏病患者进行降尿酸治疗。对于无症状高尿酸血症患者,指南认为“目前尚无证据表明是否需要降尿酸治疗以延缓肾脏病进展”。
此前三项随机对照试验显示降尿酸治疗对肾脏结局的影响不一致,导致临床实践存在较大差异。部分医生和患者还担心降尿酸药物可能伤肾,而事实上,高尿酸本身才是肾脏损害的元凶。
研究设计:创新性靶试验模拟框架

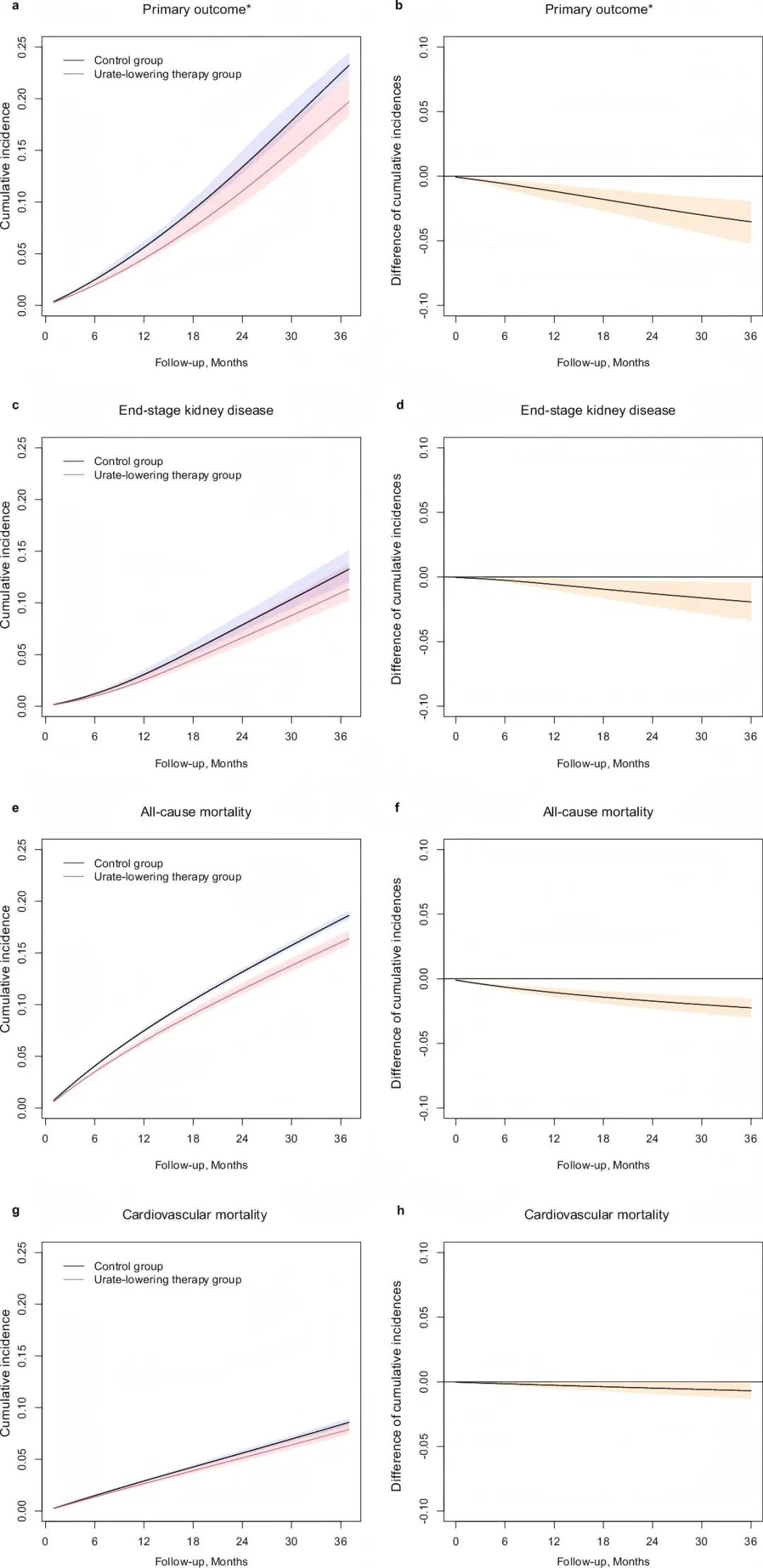
降尿酸治疗组与对照组三年累积发生率及风险差异
为解决这一临床争议,研究团队采用了创新的“序贯靶试验模拟”框架,分析了中国肾脏病医疗大数据库中28家三甲医院的数据。
研究共纳入269,831个合格人员试验,其中12,357个被分配到降尿酸治疗组,257,474个分配到对照组。
研究的主要复合终点定义为估算肾小球滤过率下降超过40%或进展至终末期肾病。次要终点包括全因死亡率和心血管死亡率。
为确保结果可靠性,研究团队进行了多项敏感性分析,包括考虑竞争死亡风险、按不同降尿酸药物分组分析,以及排除痛风患者后的分析,结果均保持一致。
研究结果:降尿酸治疗带来显著临床获益

针对主要结局的降尿酸治疗组与对照组三年风险差异的亚组分析
研究结果显示,降尿酸治疗组3年累计复合肾脏终点发生率为19.69%,对照组为23.22%,绝对风险差异为-3.53%。在次要终点方面,降尿酸治疗组终末期肾病风险降低1.88%,全因死亡率降低2.25%,心血管死亡率降低0.69%。
亚组分析显示,降尿酸治疗的获益在不同人群中都保持一致,包括不同年龄、性别、基础肾功能和是否伴有糖尿病或高血压的患者。值得注意的是,尿 albumin-creatinine 比值≥300毫克/克的患者获益更为明显,而这部分患者正是慢性肾脏病进展风险最高的人群。
研究意义与未来展望
这项研究为慢性肾脏病合并高尿酸血症的治疗提供了高质量真实世界证据,对优化慢性肾脏病综合管理具有重要意义。研究结果支持将降尿酸治疗拓展至无症状高尿酸血症的慢性肾脏病患者,这有望改变目前的临床方案。
对于慢性肾脏病患者,控制高尿酸血症与控制血压、血糖一样重要。随着人口老龄化和糖尿病、高血压等慢性疾病患病率上升,慢性肾脏病防治面临越来越严峻的挑战。这项研究为临床医生提供了重要决策依据,将帮助更多慢性肾脏病患者延缓疾病进展,改善生活质量。(转化医学网360zhyx.com)
原文链接:
https://www.nature.com/articles/s41392-025-02497-0
【关于投稿】
转化医学网(360zhyx.com)是转化医学核心门户,旨在推动基础研究、临床诊疗和产业的发展,核心内容涵盖组学、检验、免疫、肿瘤、心血管、糖尿病等。如您有最新的研究内容发表,欢迎联系我们进行免费报道(公众号菜单栏-在线客服联系),我们的理念:内容创造价值,转化铸就未来!
转化医学网(360zhyx.com)发布的文章旨在介绍前沿医学研究进展,不能作为治疗方案使用;如需获得健康指导,请至正规医院就诊。
责任声明:本稿件如有错误之处,敬请联系转化医学网客服进行修改事宜!
微信号:zhuanhuayixue
腾讯登录
还没有人评论,赶快抢个沙发