宋尔卫院士领衔!新型ADC药物1期临床试验结果发布:展现出显著且持久的抗肿瘤活性及可控的安全性,为晚期实体瘤患者带来持久临床获益
| 导读 | 研究显示,新型HER2靶向抗体偶联药物(ADC)SHR-A1811在对标准疗法耐药或不耐受的、HER2表达或突变的晚期实体瘤患者中,展现出显著且持久的抗肿瘤活性及可控的安全性,为该类患者群体提供了充满希望的新治疗选择。 |
近日,中山大学孙逸仙纪念医院宋尔卫院士领衔在国际知名期刊《Signal Transduction and Targeted Therapy》发布一项名为HORIZON-X的全球性、多中心、首次人体1期临床试验的最终分析结果。研究显示,新型HER2靶向抗体偶联药物(ADC)SHR-A1811在对标准疗法耐药或不耐受的、HER2表达或突变的晚期实体瘤患者中,展现出显著且持久的抗肿瘤活性及可控的安全性,为该类患者群体提供了充满希望的新治疗选择。
突破性疗效:生存期显著延长,应答持久
患者处置流程图
SHR-A1811是一种由靶向HER2的抗体曲妥珠单抗、通过可裂解连接子与新型拓扑异构酶I抑制剂有效载荷SHR169265结合而成的新型ADC。本次最终分析数据截至2025年3月12日,共纳入396名晚期实体瘤患者,涵盖乳腺癌、胆道癌、尿路上皮癌、妇科肿瘤等多种癌症类型。所有患者既往接受过中位3线的全身治疗。疗效数据令人振奋:
-
在HER2阳性乳腺癌患者中(n=136),中位无进展生存期达到25.0个月,客观缓解率高达78.7%,中位缓解持续时间达25.1个月。
-
在HER2低表达乳腺癌患者中(n=110),中位无进展生存期为11.0个月,客观缓解率为61.8%。
-
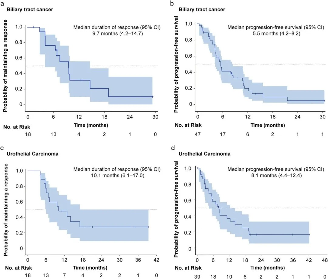
在非乳腺癌的实体瘤患者中,该药物同样显示出广泛的抗肿瘤活性。例如,在胆道癌、尿路上皮癌和妇科癌症患者中,中位无进展生存期分别为5.5个月、8.1个月和8.5个月。
特别值得注意的是,即使在肿瘤HER2表达水平极低甚至检测为阴性的患者亚组中,SHR-A1811也观察到了59.3%的客观缓解率和9.8个月的中位无进展生存期。研究人员分析,这可能得益于该药物有效载荷卓越的“旁观者效应”,使其能够对邻近的HER2低表达肿瘤细胞也产生杀伤作用。
安全性可控:关键不良反应发生率较低

Kaplan-Meier法评估乳腺癌患者的无进展生存期和缓解持续时间
安全性是ADC药物研发的关键考量。在此次最终分析中,SHR-A1811的安全性与既往报告一致,未发现新的安全信号。最常见的不良反应为血液学毒性,如中性粒细胞计数减少、贫血等,这与同类药物的已知安全性特征相符。仅有8.6%的患者因治疗相关不良事件停药,这一数值在数值上低于同类已上市ADC药物在类似人群中的报告数据。
尤为关键的是间质性肺病(ILD)的发生率。本研究中,任何级别的ILD发生率仅为2.5%,且大多数为低级别。研究指出,这可能是由于SHR-A1811具有适中的药物抗体比率以及对有效载荷的化学修饰,增强了血浆稳定性,减少了毒素在循环中的释放,从而降低了系统性暴露和脱靶毒性风险。

Kaplan-Meier法评估非乳腺癌患者的无进展生存期和缓解持续时间
研究意义与未来展望
本研究最终分析进一步确认了SHR-A1811在经多线治疗的晚期实体瘤患者中的长期疗效和良好的安全性。其疗效数据与当前已确立的HER2-ADC标准疗法相比显示出可比性,而更低的ILD风险可能使其成为对有潜在ILD风险患者的一个相对更安全的选择。
该研究的成功标志着抗HER2治疗正从乳腺癌成功拓展至更广泛的实体瘤领域。目前,多项针对SHR-A1811的2期和3期临床试验正在进行中,旨在进一步评估其在早期和晚期乳腺癌以及其他癌种中的疗效。
原文链接:
https://www.nature.com/articles/s41392-026-02612-9(转化医学网360zhyx.com)
【关于投稿】
转化医学网(360zhyx.com)是转化医学核心门户,旨在推动基础研究、临床诊疗和产业的发展,核心内容涵盖组学、检验、免疫、肿瘤、心血管、糖尿病等。如您有最新的研究内容发表,欢迎联系我们进行免费报道(公众号菜单栏-在线客服联系),我们的理念:内容创造价值,转化铸就未来!
转化医学网(360zhyx.com)发布的文章旨在介绍前沿医学研究进展,不能作为治疗方案使用;如需获得健康指导,请至正规医院就诊。
责任声明:本稿件如有错误之处,敬请联系转化医学网客服进行修改事宜!
微信号:zhuanhuayixue
腾讯登录
还没有人评论,赶快抢个沙发